随着电力电子技术发展和可再生能源综合利用技术不断发展,相应政策支持和推动风力发电产业的高速发展。串联补偿电容技术可减少线路损耗,提高线路传输容量,并增强系统稳定性,是一种实现远距离输电成熟而经济的技术,也是目前实现大规模风电场功率外送的主要措施。
然而机遇与挑战往往是并存的,风电机组经固定串补连接到电网时也面临着发生次同步振荡的威胁。2009年10月美国德州一处风场发生了串补电容引起的次同步振荡事故;2012年底我国华北地区某处风场也发生了多起串补引发的次同步振荡事故。由此,关于风力发电系统次同步振荡的问题也越来越受到国内外相关科研人员的重视,但由于对其产生机理、分析方法和抑制措施等方面的研究仍处于起步阶段,还需要做大量的仿真实验来提供有力验证和理论基础。
先进的数字模型仿真技术逐渐成为电力电子及电力系统相关领域的重要研究手段。数字仿真机的使用可以有效的缩短开发周期、降低测试成本,并且模拟实际情况下难以实现的测试环境。为了有效的规避风机串联电容器补偿引起次同步振荡,上海科梁提出一套针对风机串补次同步振荡研究的微电网半实物仿真平台。在RT-LAB的环境中搭建双馈风力发电机经串补线路接入无穷大系统的模型,结合PC多核分布式并行运算技术和FPGA高速数字信号处理技术,减少了计算耗时,提高了仿真精度。该模型基于应用层开发工具箱RT-EVENTS、RTE-Drive和模型实时解算器ARTEMIS,采用SSN解算方案解决了系统实时仿真所遇到的密集系统仿真解耦问题,可应用于智能变电站、微电网等节点密集性的仿真系统,并可广泛应用于分析集群风电场或大电网中次同步振荡产生的原因及验证风电场经串联电容器补偿引起次同步振荡问题。
项目要求:在单机无穷大系统-风电场经串联补偿引发次同步振荡仿真模型

模型中仿真时间为10s,仿真步长为50μs,风速为11m/s,无功初始值设置为0pu,单机无穷大系统中未接入串联电容器补偿时,系统仿真结果如下图2、3所示:

图2 风机定子和转子三相电压仿真结果

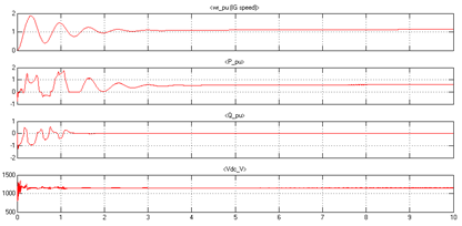
图3 风机角速度、有功、无功、直流电压仿真结果
从仿真波形中可以看出,模型中没有串联电容器补偿时,系统在3s之后就已经进入稳定运行状态,采集到的定子侧和转子侧的电压、风机的有功、无功、角速度、直流电压值均达到预期效果;
在单机无穷大系统投入电容器补偿的仿真模型中,设置4s后接入串联电容为补偿,6s串联补偿切除,补偿容量为6e-4F,并对仿真结果进行对比分析。
单机无穷大系统中接入串联电容器补偿时,系统仿真结果如下图4、5所示:

图4 串联电容器补偿后风机定子、转子三相电压仿真结果

图5 串联电容器补偿后风机角速度、有功、无功、直流电压仿真结果
从仿真结果中可以看出,当系统在4-6S采用串联电容器进行无功补偿时,系统中定子侧的电压幅值、转子侧的电压幅值没有发生变化,但是存在谐波现象;风机侧输出的有功、无功、角速度、直流电压值发生了变化,主要表现为幅值增加,频率由原来的50Hz变为40Hz左右;产生这种现象的主要原因为,风电经固定串补线路送出时,风力发电机组由于转子侧变流器与固定串补之间相互作用,而引起了系统次同步振荡。
经过多次仿真实验,发现在相同的条件下,串联补偿容量越高,造成次同步振荡的可能性越大。